Multiple Choice
Find the derivative of the function.
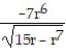
-q = 
A) 
B) 
C) 
D) 
Correct Answer:
Verified
Related Questions
Q203: Suppose that the functions f and g
Q204: Suppose that the functions f and g
Q205: Suppose that the functions f and g
Q206: Suppose that the functions f and g
Q207: Suppose that the functions f and g
Q209: Find the derivative of the function.
-s =
Q210: Find the derivative of the function.
-y =
Q211: Find the derivative of the function.
-y =
Q212: Find the derivative of the function.
-y =
Q213: Find the derivative of the function.
-h(x) =
Unlock this Answer For Free Now!
View this answer and more for free by performing one of the following actions
Scan the QR code to install the App and get 2 free unlocks
Unlock quizzes for free by uploading documents