Find the derivative of the function.
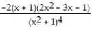
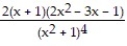
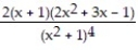
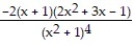
-y = (x + 1) 2(x2 + 1) -3
A) 
B) 
C) 
D) 
Correct Answer:
Verified
Q207: Suppose that the functions f and g
Q208: Find the derivative of the function.
-q =
Q209: Find the derivative of the function.
-s =
Q210: Find the derivative of the function.
-y =
Q211: Find the derivative of the function.
-y =
Q213: Find the derivative of the function.
-h(x) =
Q214: Find the derivative of the function.
-r
Q215: Find the derivative of the function.
-y =
Q216: Find the derivative of the function.
-y =
Q217: Find the derivative of the function.
-y
Unlock this Answer For Free Now!
View this answer and more for free by performing one of the following actions
Scan the QR code to install the App and get 2 free unlocks
Unlock quizzes for free by uploading documents