Services
Discover
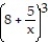
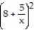
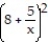
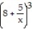
Question 224
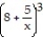
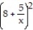
-y =
A) - B) 12 C) - + D) +
Correct Answer:
Verified
Unlock this answer nowGet Access to more Verified Answers free of charge
Q219: Find dy/dt.-y = Q220: Find dy/dt.-y = cos( Q221: Find dy/dt.-y = Q222: Find dy/dt.-y = 2t Q223: Find dy/dt.-y = Q225: Q226: Q227: Q228: Q229: Unlock this Answer For Free Now!View this answer and more for free by performing one of the following actionsScan the QR code to install the App and get 2 free unlocksMaximize QR codeUnlock quizzes for free by uploading documentsUpload documents
Q220: Find dy/dt.-y = cos( Q221: Find dy/dt.-y = Q222: Find dy/dt.-y = 2t Q223: Find dy/dt.-y = Q225: Q226: Q227: Q228: Q229: Unlock this Answer For Free Now!View this answer and more for free by performing one of the following actionsScan the QR code to install the App and get 2 free unlocksMaximize QR codeUnlock quizzes for free by uploading documentsUpload documents
Q221: Find dy/dt.-y = Q222: Find dy/dt.-y = 2t Q223: Find dy/dt.-y = Q225: Q226: Q227: Q228: Q229: Unlock this Answer For Free Now!View this answer and more for free by performing one of the following actionsScan the QR code to install the App and get 2 free unlocksMaximize QR codeUnlock quizzes for free by uploading documentsUpload documents
Q222: Find dy/dt.-y = 2t Q223: Find dy/dt.-y = Q225: Q226: Q227: Q228: Q229: Unlock this Answer For Free Now!View this answer and more for free by performing one of the following actionsScan the QR code to install the App and get 2 free unlocksMaximize QR codeUnlock quizzes for free by uploading documentsUpload documents
Q223: Find dy/dt.-y = Q225: Q226: Q227: Q228: Q229: Unlock this Answer For Free Now!View this answer and more for free by performing one of the following actionsScan the QR code to install the App and get 2 free unlocksMaximize QR codeUnlock quizzes for free by uploading documentsUpload documents
Q225: Q226: Q227: Q228: Q229: Unlock this Answer For Free Now!View this answer and more for free by performing one of the following actionsScan the QR code to install the App and get 2 free unlocksMaximize QR codeUnlock quizzes for free by uploading documentsUpload documents
Q226: Q227: Q228: Q229: Unlock this Answer For Free Now!View this answer and more for free by performing one of the following actionsScan the QR code to install the App and get 2 free unlocksMaximize QR codeUnlock quizzes for free by uploading documentsUpload documents
Q227: Q228: Q229: Unlock this Answer For Free Now!View this answer and more for free by performing one of the following actionsScan the QR code to install the App and get 2 free unlocksMaximize QR codeUnlock quizzes for free by uploading documentsUpload documents
Q228: Q229:
Q229:
Unlock this Answer For Free Now!
View this answer and more for free by performing one of the following actions
Scan the QR code to install the App and get 2 free unlocks
Unlock quizzes for free by uploading documents