Services
Discover
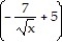
Question 226
-y =
A) 6 B) - C) - D)
Correct Answer:
Verified
Unlock this answer nowGet Access to more Verified Answers free of charge
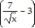
Q221: Find dy/dt.-y = Q222: Find dy/dt.-y = 2t Q223: Find dy/dt.-y = Q224: Q225: Q227: Q228: Q229: Q230: Q231: Unlock this Answer For Free Now!View this answer and more for free by performing one of the following actionsScan the QR code to install the App and get 2 free unlocksMaximize QR codeUnlock quizzes for free by uploading documentsUpload documents
Q222: Find dy/dt.-y = 2t Q223: Find dy/dt.-y = Q224: Q225: Q227: Q228: Q229: Q230: Q231: Unlock this Answer For Free Now!View this answer and more for free by performing one of the following actionsScan the QR code to install the App and get 2 free unlocksMaximize QR codeUnlock quizzes for free by uploading documentsUpload documents
Q223: Find dy/dt.-y = Q224: Q225: Q227: Q228: Q229: Q230: Q231: Unlock this Answer For Free Now!View this answer and more for free by performing one of the following actionsScan the QR code to install the App and get 2 free unlocksMaximize QR codeUnlock quizzes for free by uploading documentsUpload documents
Q224: Q225: Q227: Q228: Q229: Q230: Q231: Unlock this Answer For Free Now!View this answer and more for free by performing one of the following actionsScan the QR code to install the App and get 2 free unlocksMaximize QR codeUnlock quizzes for free by uploading documentsUpload documents
Q225: Q227: Q228: Q229: Q230: Q231: Unlock this Answer For Free Now!View this answer and more for free by performing one of the following actionsScan the QR code to install the App and get 2 free unlocksMaximize QR codeUnlock quizzes for free by uploading documentsUpload documents
Q227: Q228: Q229: Q230: Q231: Unlock this Answer For Free Now!View this answer and more for free by performing one of the following actionsScan the QR code to install the App and get 2 free unlocksMaximize QR codeUnlock quizzes for free by uploading documentsUpload documents
Q228: Q229: Q230: Q231: Unlock this Answer For Free Now!View this answer and more for free by performing one of the following actionsScan the QR code to install the App and get 2 free unlocksMaximize QR codeUnlock quizzes for free by uploading documentsUpload documents
Q229: Q230: Q231: Unlock this Answer For Free Now!View this answer and more for free by performing one of the following actionsScan the QR code to install the App and get 2 free unlocksMaximize QR codeUnlock quizzes for free by uploading documentsUpload documents
Q230: Q231:
Q231:
Unlock this Answer For Free Now!
View this answer and more for free by performing one of the following actions
Scan the QR code to install the App and get 2 free unlocks
Unlock quizzes for free by uploading documents