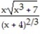
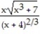
Use logarithmic differentiation to find the derivative of y.
-y = 
A) 
B)
+
- 
C)

D)

Correct Answer:
Verified
Q301: Use logarithmic differentiation to find the derivative
Q302: Use logarithmic differentiation to find the derivative
Q303: Use logarithmic differentiation to find the derivative
Q304: Use logarithmic differentiation to find the derivative
Q305: Use logarithmic differentiation to find the derivative
Q307: Use logarithmic differentiation to find the derivative
Q308: Use logarithmic differentiation to find the derivative
Q309: Use logarithmic differentiation to find the derivative
Q310: Use logarithmic differentiation to find the derivative
Q311: Use logarithmic differentiation to find the derivative
Unlock this Answer For Free Now!
View this answer and more for free by performing one of the following actions
Scan the QR code to install the App and get 2 free unlocks
Unlock quizzes for free by uploading documents