Use logarithmic differentiation to find the derivative of y with respect to the independent variable.
-y = 
A) 
B) x ln(x + 2)
C)

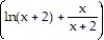
D) ln(x + 2) + 
Correct Answer:
Verified
Q304: Use logarithmic differentiation to find the derivative
Q305: Use logarithmic differentiation to find the derivative
Q306: Use logarithmic differentiation to find the derivative
Q307: Use logarithmic differentiation to find the derivative
Q308: Use logarithmic differentiation to find the derivative
Q310: Use logarithmic differentiation to find the derivative
Q311: Use logarithmic differentiation to find the derivative
Q312: Use logarithmic differentiation to find the derivative
Q313: Use logarithmic differentiation to find the derivative
Q314: Use logarithmic differentiation to find the derivative
Unlock this Answer For Free Now!
View this answer and more for free by performing one of the following actions
Scan the QR code to install the App and get 2 free unlocks
Unlock quizzes for free by uploading documents