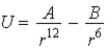
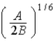
In the Lennard-Jones model of the hydrogen molecule,the potential is given by 
) In this model,the minimum internuclear separation,r0,is
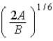
A)
.
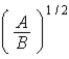
B)
.
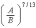
C)
.
D)
.
E)
.
Correct Answer:
Verified
Q4: A diatomic molecule consists of two point
Q19: An oxygen molecule has a moment of
Q20: Assume the angular momentum of a diatomic
Q24: When a molecule jumps from a rotational
Q27: If an electric field is applied to
Q27: The wave functions of some molecules are
Q28: In comparing vibrational and rotational levels in
Q30: Because HF, hydrogen fluoride, is a covalent
Q32: The difference between donor and acceptor atoms
Q39: The energy of a molecule can normally
Unlock this Answer For Free Now!
View this answer and more for free by performing one of the following actions
Scan the QR code to install the App and get 2 free unlocks
Unlock quizzes for free by uploading documents