Services
Discover
Homeschooling
Ask a Question
Log in
Sign up
Filters
Done
Question type:
Essay
Multiple Choice
Short Answer
True False
Matching
Topic
Chemistry
Study Set
General Organic and Biochemistry
Quiz 17: Carbohydrates
Path 4
Access For Free
Share
All types
Filters
Study Flashcards
Practice Exam
Learn
Question 81
True/False
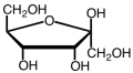
The following Haworth projection was drawn from the open chain form of a ketose.
Question 82
True/False
Where polysaccharides are most often associated with energy storage and plant structure,oligosaccharides are commonly portions of glycoproteins.
Question 83
True/False
The structure shown below is a
β
\beta
β
anomer.
Question 84
True/False
One can expect that a D enantiomer will rotate polarized light to the right (+ direction).
Question 85
True/False
The L form of a stereoisomer has an -OH on the left in the Fischer projection.
Question 86
True/False
Potatoes,being high in carbohydrates and low in other nutrients,should only be consumed in very small quantities.
Question 87
True/False
This compound is classified as a pyranose.