Services
Discover
Access For Free
Multiple Choice
showing 101 - 120 of 136
...
Related Quizzes
Quiz 1
Introduction: Evolution and the Foundations of Biology
36 Questions
Quiz 2
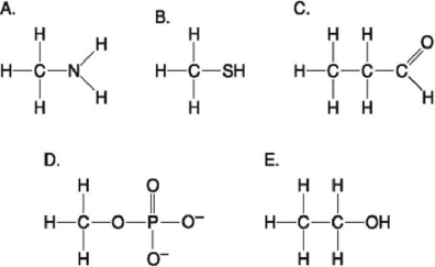
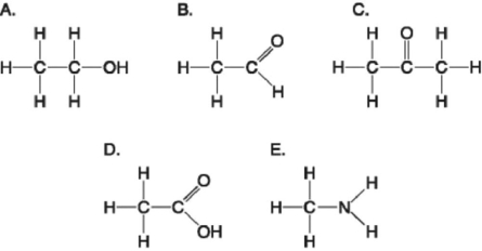
The Chemical Context of Life
137 Questions
Quiz 4
A Tour of the Cell
75 Questions
Quiz 5
Membrane Transport and Cell Signaling
97 Questions
Quiz 6
An Introduction to Metabolism
79 Questions
Quiz 7
Cellular Respiration and Fermentation
100 Questions
Quiz 8
Photosynthesis
72 Questions
Quiz 9
The Cell Cycle
56 Questions
Quiz 10
Meiosis and Sexual Life Cycles
62 Questions
Quiz 11
Mendel and the Gene Idea
63 Questions
Quiz 12
The Chromosomal Basis of Inheritance
46 Questions
Quiz 13
The Molecular Basis of Inheritance
67 Questions
Quiz 14
Gene Expression: From Gene to Protein
80 Questions
Quiz 15
Regulation of Gene Expression
50 Questions
Quiz 16
Development, Stem Cells, and Cancer
34 Questions
Quiz 17
Viruses
35 Questions
Quiz 18
Genomes and Their Evolution
29 Questions
Quiz 19
Descent With Modification
55 Questions
Quiz 20
Phylogeny
60 Questions
Quiz 21
The Evolution of Populations
70 Questions
Quiz 22
The Origin of Species
Quiz 23
Broad Patterns of Evolution
45 Questions
Quiz 24
Early Life and the Diversification of Prokaryotes
88 Questions
Quiz 25
The Origin and Diversification of Eukaryotes
71 Questions
Quiz 26
The Colonization of Land by Plants and Fungi
126 Questions
Quiz 27
The Rise of Animal Diversity
Quiz 28
Plant Structure and Growth
59 Questions
Quiz 29
Resource Acquisition, Nutrition, and Transport in Vascular Plants
110 Questions
Quiz 30
Reproduction and Domestication of Flowering Plants
Quiz 31
Plant Responses to Internal and External Signals
Quiz 32
Homeostasis and Endocrine Signaling
120 Questions
Quiz 33
Animal Nutrition
Quiz 34
Circulation and Gas Exchange
Quiz 35
The Immune System
91 Questions
Quiz 36
Reproduction and Development
118 Questions
Quiz 37
Neurons, Synapses, and Signaling
76 Questions
Quiz 38
Nervous and Sensory Systems
99 Questions
Quiz 39
Motor Mechanisms and Behavior
Quiz 40
Population Ecology and the Distribution of Organisms
93 Questions
Quiz 41
Species Interactions
Quiz 42
Ecosystems and Energy
90 Questions
Quiz 43
Global Ecology and Conservation Biology