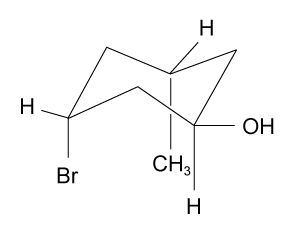
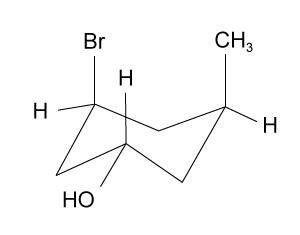
Compound 1 is shown below.
All of the following are equivalent to Compound 1 EXCEPT:
A) 
B) 
C) 
D) 
Correct Answer:
Verified
Q111: The number of different stereoisomers that exist
Q112: Q113: Passage Q114: Passage Q115: Passage Q117: If Staphylococcus aureus V8 protease is specific Q118: Passage Q119: The enzyme phenylalanine hydroxylase catalyzes the conversion Q120: Phospholipids contain all of the following structural Q121: Passage![]()
Students used three classification tests to study
Students used three classification tests to study
Students used three classification tests to study
Students used three classification tests to study
Fatty acids (FAs) are lipids that play
Unlock this Answer For Free Now!
View this answer and more for free by performing one of the following actions
Scan the QR code to install the App and get 2 free unlocks
Unlock quizzes for free by uploading documents