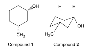
Compounds 1 and 2 can be described as:
A) enantiomers.
B) diastereomers.
C) conformational isomers.
D) constitutional isomers.
Correct Answer:
Verified
Q107: A wax is made up of a
Q108: Passage
Fatty acids (FAs) are lipids that play
Q109: Compound 1 shown below is converted to
Q110: Compound 1 and PBr3 react to form
Q111: The number of different stereoisomers that exist
Q113: Passage
Students used three classification tests to study
Q114: Passage
Students used three classification tests to study
Q115: Passage
Students used three classification tests to study
Q116: Compound 1 is shown below. 
Q117: If Staphylococcus aureus V8 protease is specific
Unlock this Answer For Free Now!
View this answer and more for free by performing one of the following actions
Scan the QR code to install the App and get 2 free unlocks
Unlock quizzes for free by uploading documents