Solved

Passage Interactions Between Positively Charged Histones and Negatively Charged Nucleic Acids

Question 204

Multiple Choice

Passage
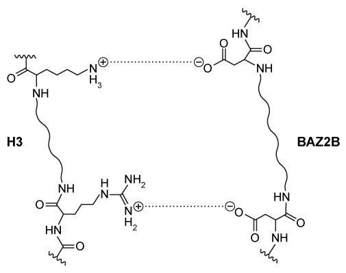
Interactions between positively charged histones and negatively charged nucleic acids are altered by acetylation and methylation of histone subunits.  These different post-translational modifications are recognized by histone-binding proteins such as BROMO domain Adjacent to Zinc finger 2B (BAZ2B) .  BAZ2B has a net negative charge but contains a lysine-rich regulatory region between its two histone-binding domains.NMR data revealed potential interactions between BAZ2B and histone subunit H3 (Figure 1) .  Binding was confirmed by isothermal titration calorimetry (ITC) , which measures enthalpy of binding when a protein solution is titrated with ligand injections of equal volume and concentration.  Each injection results in a negative peak as heat is released.  Figure 2 shows ITC results when wild-type BAZ2B (WT) or BAZ2B with the regulatory region removed (10M+) were titrated with unmodified histone 3 (H3) or H3 that was acetylated at lysine-14 (H3K14ac) .  In each case, the Hill coefficient was approximately 1.To test binding in a biological setting (in vivo) , WT and 10M+ BAZ2B were extracted from cell lysates on affinity columns containing H3 or H3K14ac covalently attached to beads.  BAZ2B was then eluted and binding was quantified by Western blot (Figure 3) .
Passage Interactions between positively charged histones and negatively charged nucleic acids are altered by acetylation and methylation of histone subunits.  These different post-translational modifications are recognized by histone-binding proteins such as BROMO domain Adjacent to Zinc finger 2B (BAZ2B) .  BAZ2B has a net negative charge but contains a lysine-rich regulatory region between its two histone-binding domains.NMR data revealed potential interactions between BAZ2B and histone subunit H3 (Figure 1) .  Binding was confirmed by isothermal titration calorimetry (ITC) , which measures enthalpy of binding when a protein solution is titrated with ligand injections of equal volume and concentration.  Each injection results in a negative peak as heat is released.  Figure 2 shows ITC results when wild-type BAZ2B (WT)  or BAZ2B with the regulatory region removed (10M+)  were titrated with unmodified histone 3 (H3)  or H3 that was acetylated at lysine-14 (H3K14ac) .  In each case, the Hill coefficient was approximately 1.To test binding in a biological setting (in vivo) , WT and 10M+ BAZ2B were extracted from cell lysates on affinity columns containing H3 or H3K14ac covalently attached to beads.  BAZ2B was then eluted and binding was quantified by Western blot (Figure 3) .    <strong>Figure 1</strong>  Electrostatic interactions between H3 and BAZ2B amino acid residues    <strong>Figure 2</strong>  ITC traces (A)  and K<sub>d</sub> values (B)  of WT BAZ2B and 10M+ BAZ2B titrated with either unmodified H3 or H3Ka4ac    <strong>Figure 3</strong>  Western blot of BAZ2B recovered from unmodified or acetylated H3 columns Adapted from Kostrhon S, Kontaxis G, Kaufmann T, et al. A histone-mimicking interdomain linker in a multidomain protein modulates multivalent histone binding. J Biol Chem. 2017;292(43) :17643-17657. -Based on the information in the passage, why does the size of the ITC peaks decrease over the course of each experiment in Figure 2? A) Increasing H3 concentration pushes the equilibrium toward dissociation. B) Fewer binding events occur on BAZ2B as the experiment progresses. C) Less H3 is present in each subsequent injection as the titration progresses. D) Negative cooperativity exhibited by BAZ2B causes binding to decrease as H3 is added. Figure 1  Electrostatic interactions between H3 and BAZ2B amino acid residues
Passage Interactions between positively charged histones and negatively charged nucleic acids are altered by acetylation and methylation of histone subunits.  These different post-translational modifications are recognized by histone-binding proteins such as BROMO domain Adjacent to Zinc finger 2B (BAZ2B) .  BAZ2B has a net negative charge but contains a lysine-rich regulatory region between its two histone-binding domains.NMR data revealed potential interactions between BAZ2B and histone subunit H3 (Figure 1) .  Binding was confirmed by isothermal titration calorimetry (ITC) , which measures enthalpy of binding when a protein solution is titrated with ligand injections of equal volume and concentration.  Each injection results in a negative peak as heat is released.  Figure 2 shows ITC results when wild-type BAZ2B (WT)  or BAZ2B with the regulatory region removed (10M+)  were titrated with unmodified histone 3 (H3)  or H3 that was acetylated at lysine-14 (H3K14ac) .  In each case, the Hill coefficient was approximately 1.To test binding in a biological setting (in vivo) , WT and 10M+ BAZ2B were extracted from cell lysates on affinity columns containing H3 or H3K14ac covalently attached to beads.  BAZ2B was then eluted and binding was quantified by Western blot (Figure 3) .    <strong>Figure 1</strong>  Electrostatic interactions between H3 and BAZ2B amino acid residues    <strong>Figure 2</strong>  ITC traces (A)  and K<sub>d</sub> values (B)  of WT BAZ2B and 10M+ BAZ2B titrated with either unmodified H3 or H3Ka4ac    <strong>Figure 3</strong>  Western blot of BAZ2B recovered from unmodified or acetylated H3 columns Adapted from Kostrhon S, Kontaxis G, Kaufmann T, et al. A histone-mimicking interdomain linker in a multidomain protein modulates multivalent histone binding. J Biol Chem. 2017;292(43) :17643-17657. -Based on the information in the passage, why does the size of the ITC peaks decrease over the course of each experiment in Figure 2? A) Increasing H3 concentration pushes the equilibrium toward dissociation. B) Fewer binding events occur on BAZ2B as the experiment progresses. C) Less H3 is present in each subsequent injection as the titration progresses. D) Negative cooperativity exhibited by BAZ2B causes binding to decrease as H3 is added. Figure 2  ITC traces (A) and Kd values (B) of WT BAZ2B and 10M+ BAZ2B titrated with either unmodified H3 or H3Ka4ac
Passage Interactions between positively charged histones and negatively charged nucleic acids are altered by acetylation and methylation of histone subunits.  These different post-translational modifications are recognized by histone-binding proteins such as BROMO domain Adjacent to Zinc finger 2B (BAZ2B) .  BAZ2B has a net negative charge but contains a lysine-rich regulatory region between its two histone-binding domains.NMR data revealed potential interactions between BAZ2B and histone subunit H3 (Figure 1) .  Binding was confirmed by isothermal titration calorimetry (ITC) , which measures enthalpy of binding when a protein solution is titrated with ligand injections of equal volume and concentration.  Each injection results in a negative peak as heat is released.  Figure 2 shows ITC results when wild-type BAZ2B (WT)  or BAZ2B with the regulatory region removed (10M+)  were titrated with unmodified histone 3 (H3)  or H3 that was acetylated at lysine-14 (H3K14ac) .  In each case, the Hill coefficient was approximately 1.To test binding in a biological setting (in vivo) , WT and 10M+ BAZ2B were extracted from cell lysates on affinity columns containing H3 or H3K14ac covalently attached to beads.  BAZ2B was then eluted and binding was quantified by Western blot (Figure 3) .    <strong>Figure 1</strong>  Electrostatic interactions between H3 and BAZ2B amino acid residues    <strong>Figure 2</strong>  ITC traces (A)  and K<sub>d</sub> values (B)  of WT BAZ2B and 10M+ BAZ2B titrated with either unmodified H3 or H3Ka4ac    <strong>Figure 3</strong>  Western blot of BAZ2B recovered from unmodified or acetylated H3 columns Adapted from Kostrhon S, Kontaxis G, Kaufmann T, et al. A histone-mimicking interdomain linker in a multidomain protein modulates multivalent histone binding. J Biol Chem. 2017;292(43) :17643-17657. -Based on the information in the passage, why does the size of the ITC peaks decrease over the course of each experiment in Figure 2? A) Increasing H3 concentration pushes the equilibrium toward dissociation. B) Fewer binding events occur on BAZ2B as the experiment progresses. C) Less H3 is present in each subsequent injection as the titration progresses. D) Negative cooperativity exhibited by BAZ2B causes binding to decrease as H3 is added. Figure 3  Western blot of BAZ2B recovered from unmodified or acetylated H3 columns
Adapted from Kostrhon S, Kontaxis G, Kaufmann T, et al. A histone-mimicking interdomain linker in a multidomain protein modulates multivalent histone binding. J Biol Chem. 2017;292(43) :17643-17657.
-Based on the information in the passage, why does the size of the ITC peaks decrease over the course of each experiment in Figure 2?


A) Increasing H3 concentration pushes the equilibrium toward dissociation.
B) Fewer binding events occur on BAZ2B as the experiment progresses.
C) Less H3 is present in each subsequent injection as the titration progresses.
D) Negative cooperativity exhibited by BAZ2B causes binding to decrease as H3 is added.

Correct Answer:

verifed

Verified

Unlock this answer now
Get Access to more Verified Answers free of charge

Related Questions

Unlock this Answer For Free Now!

View this answer and more for free by performing one of the following actions

qr-code

Scan the QR code to install the App and get 2 free unlocks

upload documents

Unlock quizzes for free by uploading documents