Solved

Passage the Primary Structure of a Protein Is a Series of of Amino

Question 161

Multiple Choice

Passage
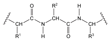
The primary structure of a protein is a series of amino acids that are connected in a long chain via C−N peptide bonds (Figure 1) .
Passage The primary structure of a protein is a series of amino acids that are connected in a long chain via C−N peptide bonds (Figure 1) .    <strong>Figure 1</strong>  Peptide bonds within a protein segment (Note:  R<sup>n</sup> = amino acid side chains) Protein chain folding is guided by multiple intramolecular interactions that can occur between two peptide bonds, between a peptide bond and a side chain, or between two side chains, as shown in the protein in Figure 2.  Although these interactions are intramolecular because they are within the same molecule, they act effectively like intermolecular interactions because proteins are such large molecules.    <strong>Figure 2</strong>  Intramolecular interactions between the peptide chain and amino acid side chains within a hypothetical proteinBecause intramolecular interactions play a significant role in maintaining the three-dimensional folded structure of a protein, having a greater number of interactions or stronger interactions will result in increased protein stability.  The energy required to break these interactions within a protein is related to free energy, ΔG.  The greater the ΔG value, the more stable the protein.To find the overall contribution of particular intramolecular interactions to protein stability, researchers made several protein variants in which one amino acid is replaced by another to change the noncovalent interactions between the side chains.  The difference in free energy between the variant and the original protein, Δ(ΔG) , indicates the change in overall stability of the protein.  A negative Δ(ΔG)  means the variant protein is less stable than the original.Table 1 shows the results of the amino acid substitution experiments for a protein with the approximate energy difference when each amino acid is changed.<strong>Table 1</strong>  Change in Free Energy Based on Changing Intramolecular Interactions Caused by Amino Acid Substitutions    Adapted from: C. N. Pace, J. M. Scholtz, G. R. Grimsley,  Forces stabilizing proteins.  FEBS Lett. ©2014 Wiley. -Assuming the amino acid substitutions found in Table 1 occur on the protein surface, which substitution would cause the smallest change in the water solubility of the protein? A) Serine to alanine B) Threonine to valine C) Tyrosine to phenylalanine D) Isoleucine to valine Figure 1  Peptide bonds within a protein segment (Note:  Rn = amino acid side chains) Protein chain folding is guided by multiple intramolecular interactions that can occur between two peptide bonds, between a peptide bond and a side chain, or between two side chains, as shown in the protein in Figure 2.  Although these interactions are intramolecular because they are within the same molecule, they act effectively like intermolecular interactions because proteins are such large molecules.
Passage The primary structure of a protein is a series of amino acids that are connected in a long chain via C−N peptide bonds (Figure 1) .    <strong>Figure 1</strong>  Peptide bonds within a protein segment (Note:  R<sup>n</sup> = amino acid side chains) Protein chain folding is guided by multiple intramolecular interactions that can occur between two peptide bonds, between a peptide bond and a side chain, or between two side chains, as shown in the protein in Figure 2.  Although these interactions are intramolecular because they are within the same molecule, they act effectively like intermolecular interactions because proteins are such large molecules.    <strong>Figure 2</strong>  Intramolecular interactions between the peptide chain and amino acid side chains within a hypothetical proteinBecause intramolecular interactions play a significant role in maintaining the three-dimensional folded structure of a protein, having a greater number of interactions or stronger interactions will result in increased protein stability.  The energy required to break these interactions within a protein is related to free energy, ΔG.  The greater the ΔG value, the more stable the protein.To find the overall contribution of particular intramolecular interactions to protein stability, researchers made several protein variants in which one amino acid is replaced by another to change the noncovalent interactions between the side chains.  The difference in free energy between the variant and the original protein, Δ(ΔG) , indicates the change in overall stability of the protein.  A negative Δ(ΔG)  means the variant protein is less stable than the original.Table 1 shows the results of the amino acid substitution experiments for a protein with the approximate energy difference when each amino acid is changed.<strong>Table 1</strong>  Change in Free Energy Based on Changing Intramolecular Interactions Caused by Amino Acid Substitutions    Adapted from: C. N. Pace, J. M. Scholtz, G. R. Grimsley,  Forces stabilizing proteins.  FEBS Lett. ©2014 Wiley. -Assuming the amino acid substitutions found in Table 1 occur on the protein surface, which substitution would cause the smallest change in the water solubility of the protein? A) Serine to alanine B) Threonine to valine C) Tyrosine to phenylalanine D) Isoleucine to valine Figure 2  Intramolecular interactions between the peptide chain and amino acid side chains within a hypothetical proteinBecause intramolecular interactions play a significant role in maintaining the three-dimensional folded structure of a protein, having a greater number of interactions or stronger interactions will result in increased protein stability.  The energy required to break these interactions within a protein is related to free energy, ΔG.  The greater the ΔG value, the more stable the protein.To find the overall contribution of particular intramolecular interactions to protein stability, researchers made several protein variants in which one amino acid is replaced by another to change the noncovalent interactions between the side chains.  The difference in free energy between the variant and the original protein, Δ(ΔG) , indicates the change in overall stability of the protein.  A negative Δ(ΔG) means the variant protein is less stable than the original.Table 1 shows the results of the amino acid substitution experiments for a protein with the approximate energy difference when each amino acid is changed.Table 1  Change in Free Energy Based on Changing Intramolecular Interactions Caused by Amino Acid Substitutions
Passage The primary structure of a protein is a series of amino acids that are connected in a long chain via C−N peptide bonds (Figure 1) .    <strong>Figure 1</strong>  Peptide bonds within a protein segment (Note:  R<sup>n</sup> = amino acid side chains) Protein chain folding is guided by multiple intramolecular interactions that can occur between two peptide bonds, between a peptide bond and a side chain, or between two side chains, as shown in the protein in Figure 2.  Although these interactions are intramolecular because they are within the same molecule, they act effectively like intermolecular interactions because proteins are such large molecules.    <strong>Figure 2</strong>  Intramolecular interactions between the peptide chain and amino acid side chains within a hypothetical proteinBecause intramolecular interactions play a significant role in maintaining the three-dimensional folded structure of a protein, having a greater number of interactions or stronger interactions will result in increased protein stability.  The energy required to break these interactions within a protein is related to free energy, ΔG.  The greater the ΔG value, the more stable the protein.To find the overall contribution of particular intramolecular interactions to protein stability, researchers made several protein variants in which one amino acid is replaced by another to change the noncovalent interactions between the side chains.  The difference in free energy between the variant and the original protein, Δ(ΔG) , indicates the change in overall stability of the protein.  A negative Δ(ΔG)  means the variant protein is less stable than the original.Table 1 shows the results of the amino acid substitution experiments for a protein with the approximate energy difference when each amino acid is changed.<strong>Table 1</strong>  Change in Free Energy Based on Changing Intramolecular Interactions Caused by Amino Acid Substitutions    Adapted from: C. N. Pace, J. M. Scholtz, G. R. Grimsley,  Forces stabilizing proteins.  FEBS Lett. ©2014 Wiley. -Assuming the amino acid substitutions found in Table 1 occur on the protein surface, which substitution would cause the smallest change in the water solubility of the protein? A) Serine to alanine B) Threonine to valine C) Tyrosine to phenylalanine D) Isoleucine to valine Adapted from: C. N. Pace, J. M. Scholtz, G. R. Grimsley, "Forces stabilizing proteins." FEBS Lett. ©2014 Wiley.
-Assuming the amino acid substitutions found in Table 1 occur on the protein surface, which substitution would cause the smallest change in the water solubility of the protein?


A) Serine to alanine
B) Threonine to valine
C) Tyrosine to phenylalanine
D) Isoleucine to valine

Correct Answer:

verifed

Verified

Unlock this answer now
Get Access to more Verified Answers free of charge

Related Questions

Unlock this Answer For Free Now!

View this answer and more for free by performing one of the following actions

qr-code

Scan the QR code to install the App and get 2 free unlocks

upload documents

Unlock quizzes for free by uploading documents