Related Questions
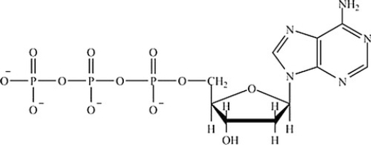
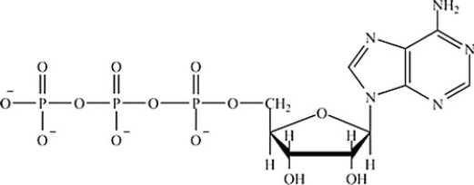
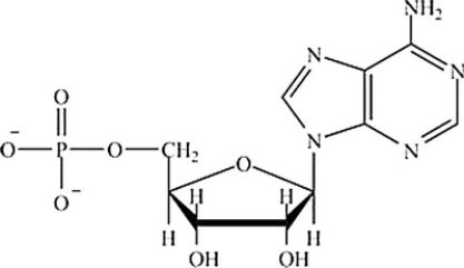
Q1: Which structure represents a nucleotide? Q2: In the transcription "cartoon" shown, the direction Q3: Each individual tRNA contains _. Q4: The "cartoon" shown below is an example Q5: Which of the following best describes the Q7: Which component is not part of a Q8: Which is not one of the elements Q9: Which base is at the 5' end Q10: The correct order of steps in each Q11: Which statement concerning the replication of DNA
A)![]()
A) an anticodon
Unlock this Answer For Free Now!
View this answer and more for free by performing one of the following actions
Scan the QR code to install the App and get 2 free unlocks
Unlock quizzes for free by uploading documents



