Multiple Choice
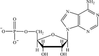
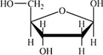
Which structure represents a nucleotide?
A) 
B) 
C) 
D) 
Correct Answer:
Verified
Related Questions
Q2: In the transcription "cartoon" shown, the direction
Q3: Each individual tRNA contains _.
A) an anticodon
Q4: The "cartoon" shown below is an example
Q5: Which of the following best describes the
Q6: Which is the structure of ATP?
A)
Q7: Which component is not part of a
Q8: Which is not one of the elements
Q9: Which base is at the 5' end
Q10: The correct order of steps in each
Q11: Which statement concerning the replication of DNA
Unlock this Answer For Free Now!
View this answer and more for free by performing one of the following actions
Scan the QR code to install the App and get 2 free unlocks
Unlock quizzes for free by uploading documents