Services
Discover
Homeschooling
Ask a Question
Log in
Sign up
Filters
Done
Question type:
Essay
Multiple Choice
Short Answer
True False
Matching
Topic
Chemistry
Study Set
Organic Chemistry
Quiz 23: Biomolecules: Lipids and Their Metabolism
Path 4
Access For Free
Share
All types
Filters
Study Flashcards
Question 1
Essay
Instructions: Match each of the given terms to a structure from the list below.There is only one correct structure for each term,and structures may be used more than once.
Question 2
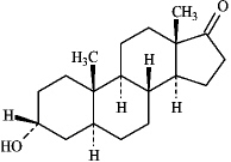
Essay
Instructions: Draw the structures of the major organic product(s)you would expect to obtain from reaction of androsterone with the reagents listed below.
androsterone Draw major product(s): CH
3
COCl,pyridine
Question 3
Multiple Choice
Which of the following fatty acids has the highest melting point?
Question 4
Essay
Instructions: Indicate by asterisks the stereogenic centers present in each of the indicated terpenes in the following question(s). Place asterisks: grandisol
Question 5
Multiple Choice
Chemically,these are triacylglycerols,triesters of glycerol with three long-chain carboxylic acids.
Question 6
Multiple Choice
Cell membranes,which form an effective barrier to the passage of ions and other components into and out of the cell,are:
Question 7
Essay
Instructions: Draw the structures of the major organic product(s)you would expect to obtain from reaction of androsterone with the reagents listed below.
androsterone Draw major product(s): NaBH
4
,ethanol
Question 8
Multiple Choice
When soaps disperse in water,the long hydrocarbon tails cluster together in a hydrophobic ball,while the ionic heads on the surface of the cluster stick out into the water.These spherical clusters are called: