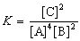
What is the gas phase chemical reaction that corresponds to the equilibrium constant expression shown below? 
A) 2 A + 4 B
2 C
B) A + B
C
C) 2 C
2 A + 4 B
D) 2 C
4 A + 2 B
E) 4 A + 2 B
2 C
Correct Answer:
Verified
Q27: Consider the reaction: N2(g)+ O2(g) 
Q28: A catalytic converter uses a catalyst to
Q28: For an endothermic reaction at equilibrium,increasing the
Q29: Which of the following is always necessary
Q30: When the pressure of a reaction at
Q31: The reversible reaction: PCl3(g)+ Cl2(g) 
Q33: Walking at a brisk pace burns off
Q33: The rusting of iron is described
Q36: Which of the following will increase the
Q48: The rate of a chemical reaction increases
Unlock this Answer For Free Now!
View this answer and more for free by performing one of the following actions
Scan the QR code to install the App and get 2 free unlocks
Unlock quizzes for free by uploading documents