Passage
A group of students studied the reactivity of four alkyl halides (R−X) in two nucleophilic substitution reactions. Nucleophilic substitution reactions can go through one of two mechanisms. The SN2 reaction requires substitution of a leaving group with a nucleophile in a single step (Reaction 1) , and the SN1 reaction requires elimination of the leaving group and formation of an intermediate before nucleophilic substitution can occur, resulting in a two-step process (Reaction 2) .R−X + NaI → R−I + NaX↓Reaction 1R−X + AgNO3 → R+ + AgX↓ + HOCH2CH3 → R−OCH2CH3 + HNO3Reaction 2Experiment 1The students performed the SN2 reaction (Reaction 1) by the addition of a few drops of each alkyl halide into a separate test tube containing 1 mL of 15% solution of NaI in acetone at 25°C. After mixing, they monitored the reaction for the formation of a precipitate (sodium halide salt) . If no precipitate formed after 5 minutes, they raised the temperature of the reaction to 50°C and again checked for the formation of a precipitate. Formation of a precipitate indicated the substrate underwent nucleophilic substitution. The results observed for the Finkelstein reaction are shown in Table 1.Table 1 Results of the SN2 Reaction
Experiment 2The students repeated the procedure followed in Experiment 1 except they added a few drops of each alkyl halide into a separate test tube containing 1 mL of 1% solution of AgNO3 in ethanol at 25°C. The results observed for this reaction are shown in Table 2.Table 2 Results of the SN1 Reaction

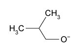
-An alkoxide nucleophile is used instead of iodide in Experiment 1. Which of the alkoxides is the LEAST sterically hindered?
A) 
B) 
C) 
D) 
Correct Answer:
Verified
Q81: Passage
Electrospray ionization mass spectrometry (ESI-MS) employs a
Q82: Passage
Electrospray ionization mass spectrometry (ESI-MS) employs a
Q83: Passage
A group of students studied the reactivity
Q84: Passage
A group of students studied the reactivity
Q85: Which of the following statements accurately describes
Q87: Passage
A group of students studied the reactivity
Q88: What structure is equivalent to Compound 1
Q89: Passage
A group of students studied the reactivity
Q90: Passage
A group of students studied the reactivity
Q91: Passage
Electrospray ionization mass spectrometry (ESI-MS) employs a
Unlock this Answer For Free Now!
View this answer and more for free by performing one of the following actions
Scan the QR code to install the App and get 2 free unlocks
Unlock quizzes for free by uploading documents