Solved

Passage Malaria Is Caused by the Parasite Plasmodium Falciparum and Is

Question 143

Multiple Choice

Passage
Malaria is caused by the parasite Plasmodium falciparum and is transmitted through a female mosquito bite.  Although there are antimalarial treatments available, P. falciparum has become resistant to many of these drugs.  P. falciparum cells contain a respiratory organelle called the apicoplast that is necessary for the parasite's survival but is not found in humans.  Therefore, a new drug that targets this organelle could be useful in the treatment of malaria.A portion of the apicoplast protein ferredoxin (PfFd) is shown in Figure 1, with certain amino acid residues labeled.  In the apicoplast, ferredoxin NADP+ reductase (PfFNR) interacts electrostatically with PfFd and catalyzes an electron transfer reaction.  A compound that selectively inhibits this interaction could be a beneficial antimalarial agent.
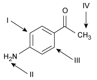
Passage Malaria is caused by the parasite Plasmodium falciparum and is transmitted through a female mosquito bite.  Although there are antimalarial treatments available, P. falciparum has become resistant to many of these drugs.  P. falciparum cells contain a respiratory organelle called the apicoplast that is necessary for the parasite's survival but is not found in humans.  Therefore, a new drug that targets this organelle could be useful in the treatment of malaria.A portion of the apicoplast protein ferredoxin (PfFd)  is shown in Figure 1, with certain amino acid residues labeled.  In the apicoplast, ferredoxin NADP<sup>+</sup> reductase (PfFNR)  interacts electrostatically with PfFd and catalyzes an electron transfer reaction.  A compound that selectively inhibits this interaction could be a beneficial antimalarial agent.    <strong>Figure 1</strong>  Structure of a portion of PfFdChalcone (Compound <strong>3</strong>)  is a compound that interacts with PfFd and exhibits antimalarial properties.  A series of chalcone derivatives (Compounds <strong>4-8</strong>)  were synthesized via the aldol condensation shown in Scheme <strong>1</strong>, where nucleophilic addition of Compound <strong>1</strong> to Compound <strong>2</strong> is followed by elimination to yield α,β-unsaturated carbonyl molecules, Compounds <strong>3-8</strong>.    <strong>Scheme 1</strong>An inhibition assay was performed to compare chalcone (Compound <strong>3</strong>)  and its derivatives by determining the extent to which these compounds inhibited electron transfer between PfFNR and PfFd (Table 1) .<strong>Table 1</strong>  Inhibition of electron transfer assay results    Adapted from H. Suwito et al.  Design and synthesis of chalcone derivatives as inhibitors of the ferredoxin - ferredoxin-NADP+ reductase interaction of Plasmodium falciparum: pursuing new antimalarial agents.  Molecules. ©2014 MDPI. -The aldol condensation is an important carbon-carbon bond-forming reaction that requires a compound with an α-H.   Given that an enolate is formed in the first step of the aldol condensation, which site will be deprotonated by a base? A) I B) II C) III D) IV Figure 1  Structure of a portion of PfFdChalcone (Compound 3) is a compound that interacts with PfFd and exhibits antimalarial properties.  A series of chalcone derivatives (Compounds 4-8) were synthesized via the aldol condensation shown in Scheme 1, where nucleophilic addition of Compound 1 to Compound 2 is followed by elimination to yield α,β-unsaturated carbonyl molecules, Compounds 3-8.
Passage Malaria is caused by the parasite Plasmodium falciparum and is transmitted through a female mosquito bite.  Although there are antimalarial treatments available, P. falciparum has become resistant to many of these drugs.  P. falciparum cells contain a respiratory organelle called the apicoplast that is necessary for the parasite's survival but is not found in humans.  Therefore, a new drug that targets this organelle could be useful in the treatment of malaria.A portion of the apicoplast protein ferredoxin (PfFd)  is shown in Figure 1, with certain amino acid residues labeled.  In the apicoplast, ferredoxin NADP<sup>+</sup> reductase (PfFNR)  interacts electrostatically with PfFd and catalyzes an electron transfer reaction.  A compound that selectively inhibits this interaction could be a beneficial antimalarial agent.    <strong>Figure 1</strong>  Structure of a portion of PfFdChalcone (Compound <strong>3</strong>)  is a compound that interacts with PfFd and exhibits antimalarial properties.  A series of chalcone derivatives (Compounds <strong>4-8</strong>)  were synthesized via the aldol condensation shown in Scheme <strong>1</strong>, where nucleophilic addition of Compound <strong>1</strong> to Compound <strong>2</strong> is followed by elimination to yield α,β-unsaturated carbonyl molecules, Compounds <strong>3-8</strong>.    <strong>Scheme 1</strong>An inhibition assay was performed to compare chalcone (Compound <strong>3</strong>)  and its derivatives by determining the extent to which these compounds inhibited electron transfer between PfFNR and PfFd (Table 1) .<strong>Table 1</strong>  Inhibition of electron transfer assay results    Adapted from H. Suwito et al.  Design and synthesis of chalcone derivatives as inhibitors of the ferredoxin - ferredoxin-NADP+ reductase interaction of Plasmodium falciparum: pursuing new antimalarial agents.  Molecules. ©2014 MDPI. -The aldol condensation is an important carbon-carbon bond-forming reaction that requires a compound with an α-H.   Given that an enolate is formed in the first step of the aldol condensation, which site will be deprotonated by a base? A) I B) II C) III D) IV Scheme 1An inhibition assay was performed to compare chalcone (Compound 3) and its derivatives by determining the extent to which these compounds inhibited electron transfer between PfFNR and PfFd (Table 1) .Table 1  Inhibition of electron transfer assay results
Passage Malaria is caused by the parasite Plasmodium falciparum and is transmitted through a female mosquito bite.  Although there are antimalarial treatments available, P. falciparum has become resistant to many of these drugs.  P. falciparum cells contain a respiratory organelle called the apicoplast that is necessary for the parasite's survival but is not found in humans.  Therefore, a new drug that targets this organelle could be useful in the treatment of malaria.A portion of the apicoplast protein ferredoxin (PfFd)  is shown in Figure 1, with certain amino acid residues labeled.  In the apicoplast, ferredoxin NADP<sup>+</sup> reductase (PfFNR)  interacts electrostatically with PfFd and catalyzes an electron transfer reaction.  A compound that selectively inhibits this interaction could be a beneficial antimalarial agent.    <strong>Figure 1</strong>  Structure of a portion of PfFdChalcone (Compound <strong>3</strong>)  is a compound that interacts with PfFd and exhibits antimalarial properties.  A series of chalcone derivatives (Compounds <strong>4-8</strong>)  were synthesized via the aldol condensation shown in Scheme <strong>1</strong>, where nucleophilic addition of Compound <strong>1</strong> to Compound <strong>2</strong> is followed by elimination to yield α,β-unsaturated carbonyl molecules, Compounds <strong>3-8</strong>.    <strong>Scheme 1</strong>An inhibition assay was performed to compare chalcone (Compound <strong>3</strong>)  and its derivatives by determining the extent to which these compounds inhibited electron transfer between PfFNR and PfFd (Table 1) .<strong>Table 1</strong>  Inhibition of electron transfer assay results    Adapted from H. Suwito et al.  Design and synthesis of chalcone derivatives as inhibitors of the ferredoxin - ferredoxin-NADP+ reductase interaction of Plasmodium falciparum: pursuing new antimalarial agents.  Molecules. ©2014 MDPI. -The aldol condensation is an important carbon-carbon bond-forming reaction that requires a compound with an α-H.   Given that an enolate is formed in the first step of the aldol condensation, which site will be deprotonated by a base? A) I B) II C) III D) IV Adapted from H. Suwito et al. "Design and synthesis of chalcone derivatives as inhibitors of the ferredoxin - ferredoxin-NADP+ reductase interaction of Plasmodium falciparum: pursuing new antimalarial agents." Molecules. ©2014 MDPI.
-The aldol condensation is an important carbon-carbon bond-forming reaction that requires a compound with an α-H. Passage Malaria is caused by the parasite Plasmodium falciparum and is transmitted through a female mosquito bite.  Although there are antimalarial treatments available, P. falciparum has become resistant to many of these drugs.  P. falciparum cells contain a respiratory organelle called the apicoplast that is necessary for the parasite's survival but is not found in humans.  Therefore, a new drug that targets this organelle could be useful in the treatment of malaria.A portion of the apicoplast protein ferredoxin (PfFd)  is shown in Figure 1, with certain amino acid residues labeled.  In the apicoplast, ferredoxin NADP<sup>+</sup> reductase (PfFNR)  interacts electrostatically with PfFd and catalyzes an electron transfer reaction.  A compound that selectively inhibits this interaction could be a beneficial antimalarial agent.    <strong>Figure 1</strong>  Structure of a portion of PfFdChalcone (Compound <strong>3</strong>)  is a compound that interacts with PfFd and exhibits antimalarial properties.  A series of chalcone derivatives (Compounds <strong>4-8</strong>)  were synthesized via the aldol condensation shown in Scheme <strong>1</strong>, where nucleophilic addition of Compound <strong>1</strong> to Compound <strong>2</strong> is followed by elimination to yield α,β-unsaturated carbonyl molecules, Compounds <strong>3-8</strong>.    <strong>Scheme 1</strong>An inhibition assay was performed to compare chalcone (Compound <strong>3</strong>)  and its derivatives by determining the extent to which these compounds inhibited electron transfer between PfFNR and PfFd (Table 1) .<strong>Table 1</strong>  Inhibition of electron transfer assay results    Adapted from H. Suwito et al.  Design and synthesis of chalcone derivatives as inhibitors of the ferredoxin - ferredoxin-NADP+ reductase interaction of Plasmodium falciparum: pursuing new antimalarial agents.  Molecules. ©2014 MDPI. -The aldol condensation is an important carbon-carbon bond-forming reaction that requires a compound with an α-H.   Given that an enolate is formed in the first step of the aldol condensation, which site will be deprotonated by a base? A) I B) II C) III D) IV Given that an enolate is formed in the first step of the aldol condensation, which site will be deprotonated by a base?


A) I
B) II
C) III
D) IV

Correct Answer:

verifed

Verified

Unlock this answer now
Get Access to more Verified Answers free of charge

Related Questions

Unlock this Answer For Free Now!

View this answer and more for free by performing one of the following actions

qr-code

Scan the QR code to install the App and get 2 free unlocks

upload documents

Unlock quizzes for free by uploading documents