Solved

Passage Catabolism Is an Oxidative Process in Which Electrons Are Transferred

Question 24

Multiple Choice

Passage
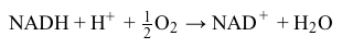
Catabolism is an oxidative process in which electrons are transferred from lipids, proteins, and carbohydrates to generate high-energy electron carriers from nicotinamide adenine dinucleotide (NADH/NAD+) and flavin adenine dinucleotide (FADH2/FAD) .  Both are used in the electron transport chain (ETC) as electron providers in a series of reactions.  The transfer of electrons provides energy that drives oxidative phosphorylation and the production of ATP.  Reduction of NAD+ proceeds according to the following half-reaction:
Passage Catabolism is an oxidative process in which electrons are transferred from lipids, proteins, and carbohydrates to generate high-energy electron carriers from nicotinamide adenine dinucleotide (NADH/NAD<sup>+</sup>)  and flavin adenine dinucleotide (FADH<sub>2</sub>/FAD) .  Both are used in the electron transport chain (ETC)  as electron providers in a series of reactions.  The transfer of electrons provides energy that drives oxidative phosphorylation and the production of ATP.  Reduction of NAD<sup>+</sup> proceeds according to the following half-reaction:    <strong>Reaction 1</strong>Reactions in the ETC occur in four protein complexes (I-IV)  located in the inner mitochondrial membrane.  Here high-energy electrons are shuttled from complexes I, II, and III to complex IV, where O<sub>2</sub> serves as the final electron acceptor.  The net result of NADH oxidation is described by Reaction 2.    NADH+H++12O2→NAD++H2O<strong>Reaction 2</strong>At complexes I, III, and IV, hydrogen ions move from the mitochondrial matrix to the intermembrane space and create the electrochemical gradient, or proton motive force (pmf) , that drives ATP synthesis.  Each NADH molecule drives the net pumping of 10 protons across the membrane, as per Reaction 3.    NADH+11H++12O2→NAD++10H++H2O<strong>Reaction 3</strong> Adapted from Garrett R, Grisham CM, Sabat M. Biochemistry. Cengage Learning; 2011. -Researchers want to measure the reduction potential when NADH is oxidized by oxygen to compare the experimental potential with the calculated reduction potential in the mitochondria.  They set up a galvanic cell, as shown in the following diagram.   Which of the following statements is true about NAD<sup>+</sup>/NADH in this experiment? A) NAD<sup>+</sup> becomes oxidized at the anode. B) An applied potential causes NADH to lose electrons at the cathode. C) NADH is oxidized at the anode, and NAD<sup>+</sup> is reduced at the cathode. D) An electrical potential exists because NADH loses electrons at the anode. Reaction 1Reactions in the ETC occur in four protein complexes (I-IV) located in the inner mitochondrial membrane.  Here high-energy electrons are shuttled from complexes I, II, and III to complex IV, where O2 serves as the final electron acceptor.  The net result of NADH oxidation is described by Reaction 2.
Passage Catabolism is an oxidative process in which electrons are transferred from lipids, proteins, and carbohydrates to generate high-energy electron carriers from nicotinamide adenine dinucleotide (NADH/NAD<sup>+</sup>)  and flavin adenine dinucleotide (FADH<sub>2</sub>/FAD) .  Both are used in the electron transport chain (ETC)  as electron providers in a series of reactions.  The transfer of electrons provides energy that drives oxidative phosphorylation and the production of ATP.  Reduction of NAD<sup>+</sup> proceeds according to the following half-reaction:    <strong>Reaction 1</strong>Reactions in the ETC occur in four protein complexes (I-IV)  located in the inner mitochondrial membrane.  Here high-energy electrons are shuttled from complexes I, II, and III to complex IV, where O<sub>2</sub> serves as the final electron acceptor.  The net result of NADH oxidation is described by Reaction 2.    NADH+H++12O2→NAD++H2O<strong>Reaction 2</strong>At complexes I, III, and IV, hydrogen ions move from the mitochondrial matrix to the intermembrane space and create the electrochemical gradient, or proton motive force (pmf) , that drives ATP synthesis.  Each NADH molecule drives the net pumping of 10 protons across the membrane, as per Reaction 3.    NADH+11H++12O2→NAD++10H++H2O<strong>Reaction 3</strong> Adapted from Garrett R, Grisham CM, Sabat M. Biochemistry. Cengage Learning; 2011. -Researchers want to measure the reduction potential when NADH is oxidized by oxygen to compare the experimental potential with the calculated reduction potential in the mitochondria.  They set up a galvanic cell, as shown in the following diagram.   Which of the following statements is true about NAD<sup>+</sup>/NADH in this experiment? A) NAD<sup>+</sup> becomes oxidized at the anode. B) An applied potential causes NADH to lose electrons at the cathode. C) NADH is oxidized at the anode, and NAD<sup>+</sup> is reduced at the cathode. D) An electrical potential exists because NADH loses electrons at the anode. NADH+H++12O2→NAD++H2OReaction 2At complexes I, III, and IV, hydrogen ions move from the mitochondrial matrix to the intermembrane space and create the electrochemical gradient, or proton motive force (pmf) , that drives ATP synthesis.  Each NADH molecule drives the net pumping of 10 protons across the membrane, as per Reaction 3.
Passage Catabolism is an oxidative process in which electrons are transferred from lipids, proteins, and carbohydrates to generate high-energy electron carriers from nicotinamide adenine dinucleotide (NADH/NAD<sup>+</sup>)  and flavin adenine dinucleotide (FADH<sub>2</sub>/FAD) .  Both are used in the electron transport chain (ETC)  as electron providers in a series of reactions.  The transfer of electrons provides energy that drives oxidative phosphorylation and the production of ATP.  Reduction of NAD<sup>+</sup> proceeds according to the following half-reaction:    <strong>Reaction 1</strong>Reactions in the ETC occur in four protein complexes (I-IV)  located in the inner mitochondrial membrane.  Here high-energy electrons are shuttled from complexes I, II, and III to complex IV, where O<sub>2</sub> serves as the final electron acceptor.  The net result of NADH oxidation is described by Reaction 2.    NADH+H++12O2→NAD++H2O<strong>Reaction 2</strong>At complexes I, III, and IV, hydrogen ions move from the mitochondrial matrix to the intermembrane space and create the electrochemical gradient, or proton motive force (pmf) , that drives ATP synthesis.  Each NADH molecule drives the net pumping of 10 protons across the membrane, as per Reaction 3.    NADH+11H++12O2→NAD++10H++H2O<strong>Reaction 3</strong> Adapted from Garrett R, Grisham CM, Sabat M. Biochemistry. Cengage Learning; 2011. -Researchers want to measure the reduction potential when NADH is oxidized by oxygen to compare the experimental potential with the calculated reduction potential in the mitochondria.  They set up a galvanic cell, as shown in the following diagram.   Which of the following statements is true about NAD<sup>+</sup>/NADH in this experiment? A) NAD<sup>+</sup> becomes oxidized at the anode. B) An applied potential causes NADH to lose electrons at the cathode. C) NADH is oxidized at the anode, and NAD<sup>+</sup> is reduced at the cathode. D) An electrical potential exists because NADH loses electrons at the anode. NADH+11H++12O2→NAD++10H++H2OReaction 3
Adapted from Garrett R, Grisham CM, Sabat M. Biochemistry. Cengage Learning; 2011.
-Researchers want to measure the reduction potential when NADH is oxidized by oxygen to compare the experimental potential with the calculated reduction potential in the mitochondria.  They set up a galvanic cell, as shown in the following diagram. Passage Catabolism is an oxidative process in which electrons are transferred from lipids, proteins, and carbohydrates to generate high-energy electron carriers from nicotinamide adenine dinucleotide (NADH/NAD<sup>+</sup>)  and flavin adenine dinucleotide (FADH<sub>2</sub>/FAD) .  Both are used in the electron transport chain (ETC)  as electron providers in a series of reactions.  The transfer of electrons provides energy that drives oxidative phosphorylation and the production of ATP.  Reduction of NAD<sup>+</sup> proceeds according to the following half-reaction:    <strong>Reaction 1</strong>Reactions in the ETC occur in four protein complexes (I-IV)  located in the inner mitochondrial membrane.  Here high-energy electrons are shuttled from complexes I, II, and III to complex IV, where O<sub>2</sub> serves as the final electron acceptor.  The net result of NADH oxidation is described by Reaction 2.    NADH+H++12O2→NAD++H2O<strong>Reaction 2</strong>At complexes I, III, and IV, hydrogen ions move from the mitochondrial matrix to the intermembrane space and create the electrochemical gradient, or proton motive force (pmf) , that drives ATP synthesis.  Each NADH molecule drives the net pumping of 10 protons across the membrane, as per Reaction 3.    NADH+11H++12O2→NAD++10H++H2O<strong>Reaction 3</strong> Adapted from Garrett R, Grisham CM, Sabat M. Biochemistry. Cengage Learning; 2011. -Researchers want to measure the reduction potential when NADH is oxidized by oxygen to compare the experimental potential with the calculated reduction potential in the mitochondria.  They set up a galvanic cell, as shown in the following diagram.   Which of the following statements is true about NAD<sup>+</sup>/NADH in this experiment? A) NAD<sup>+</sup> becomes oxidized at the anode. B) An applied potential causes NADH to lose electrons at the cathode. C) NADH is oxidized at the anode, and NAD<sup>+</sup> is reduced at the cathode. D) An electrical potential exists because NADH loses electrons at the anode. Which of the following statements is true about NAD+/NADH in this experiment?


A) NAD+ becomes oxidized at the anode.
B) An applied potential causes NADH to lose electrons at the cathode.
C) NADH is oxidized at the anode, and NAD+ is reduced at the cathode.
D) An electrical potential exists because NADH loses electrons at the anode.

Correct Answer:

verifed

Verified

Unlock this answer now
Get Access to more Verified Answers free of charge

Related Questions

Unlock this Answer For Free Now!

View this answer and more for free by performing one of the following actions

qr-code

Scan the QR code to install the App and get 2 free unlocks

upload documents

Unlock quizzes for free by uploading documents