Services
Discover
Homeschooling
Ask a Question
Log in
Sign up
Filters
Done
Question type:
Essay
Multiple Choice
Short Answer
True False
Matching
Topic
Certification
Study Set
American Health Information Management Association (AHIMA)
Exam 1: Registered Health Information Administrator
Path 4
Access For Free
Share
All types
Filters
Study Flashcards
Practice Exam
Learn
Question 1201
Multiple Choice
It takes twice as long to perform Service C, so the doctors decided Service C should count as two services for the purpose of calculating workload. If Service C counts twice as much as Service A or Service B, then the physician who provides the most services was Doctor The physicians at Sunset Shore Clinic reported the following statistics last Tuesday.
Question 1202
Multiple Choice
Your facility conducted a study of patient satisfaction, but you question the reliability of the questionnaire you used. The high degree of patient satisfaction expressed on the questionnaire just doesn't match the large number of complaints you have been receiving. You decide to try switching to an investigative strategy that will give you an immediate opportunity to review patient responses and correct errors. You have decided to use
Question 1203
Multiple Choice
Your administrator is concerned about the snuff study (see previous question #88) . The administrator would like to consider using a case control study model rather than the prospective one you are planning. One of the biggest reasons the administrator is promoting the case control model is because case control is
Question 1204
Multiple Choice
If population size (N) = 1200 and the proportion of subjects needed (p) = 0.5 and the acceptable amount of error (B) = 0.05, then sample size (n) =
Question 1205
Multiple Choice
You and your colleague are designing a study to try to determine the ideal mean cost for discretionary service. You will market your service to a very large population. Your colleague thinks you will get the best data if you take lots of small samples. You think the data will be neat reliable if you take one or two very large samples.
Question 1206
Multiple Choice
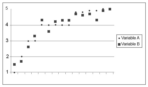
The American Health Information Management Association conducted a study on job stress and job satisfaction in HIM professionals with,more than 5 years of experience. The data they collected is displayed below. The next five questions will be based on this study and the data collected for it.
The researchers at AHIMA started by assuming there was no relationship between job stress a job satisfaction. This statement is generally called the
Question 1207
Multiple Choice
What process assists a health care facility in continuously looking at the ways that problems develop and seeking ways to prevent problems from happening in the future?
Question 1208
Multiple Choice
The people of Treasure Island Beach have been struck with a rash that seems to be infecting almost everyone in town. The staff of the hospital is working to design a study of this mysteri' disease. They decide to do a cross-sectional study because cross-sectional or prevalence studies are known for
Question 1209
Multiple Choice
A study found that liver cancer rates per 100,000 males among cigarette smokers and nonsmokers in a major U.S. city were 48.0 and 25.4, respectively. The relative risk of developing liver cancer for male smokers compared to nonsmokers is
Question 1210
Multiple Choice
A major disadvantage of cross-sectional studies is that
Question 1211
Multiple Choice
CMS has increased the weight for MS-DRG A by 14%, increased the weight for MSDRG B 20%, and decreased the weight for MS-DRG D by 10%. Given these new weights, which MS-D generated the most revenue for Rocky Top Hospital?
Question 1212
Multiple Choice
It would be most profitable for Sea Side Clinic to increase episode of care service with Sea Side Clinic (SSC) provides episode of care service for four insurance companies. Data on services provided and reimbursement received are provided below.
Question 1213
Multiple Choice
You are planning a prospective study to try to prove a cause and effect relationship between dipping snuff and throat cancer. First, you identify subjects who regularly dip snuff and who are free of any signs of throat cancer. Next, you need to identify subjects who
Question 1214
Multiple Choice
Investigator A claims his results are statistically significant at the 10% level. Investigator B argues that significance should be announced only if the results are statistically significant at the 5% level. From this we can conclude
Question 1215
Multiple Choice
John Parker surveyed members of AHIMA's student COP regarding the relationship betwed clinical experiences and job opportunities. All respondents were seniors in HIA programs ai each one expected to graduate and take the national exam within the next 6 months. Fifteen of tie eighteen respondents indicated at least one clinical rotation had resulted in a job offer. Based c this information, Parker expects to be offered a job during senior clinical rotations. John is basin this expectation on
Question 1216
Multiple Choice
There were some HIM professionals who refused to participate in the job stress/job satisfaction study. This is of great concern to the AHIMA researchers, who worry about the introduction of
Question 1217
Multiple Choice
The physician who performed the highest number of services overall last Tuesday was Doctor The physicians at Sunset Shore Clinic reported the following statistics last Tuesday.
Question 1218
Multiple Choice
After the researchers see the number of subjects they will have to interview, they reexamine the criteria. The researchers could decrease the number of subjects while having the least impact the reliability of the study by
Question 1219
Multiple Choice
You are conducting a patient satisfaction survey in your outpatient clinic using interviewers administer a questionnaire. Because you typically see about 300 people per day in the clinic, decide to have the interviewers administer the questionnaire on every tenth patient. You using
Question 1220
Multiple Choice
The researchers at AHIMA had professionals with 5 or more years HIM experience rate their stress on a scale of 1 to 5, as shown in the chart above. Job satisfaction and job stress are both continuous variables. If the AHIMA researchers want to assess both the direction and degree of the relationship between these two continuous variables, they may choose to compute the
showing 1201 - 1220 of 1659
Prev
Next
Prev
1
...
3
4
5
6
7
8
9
10
11
12
13
14
15
16
17
18
19
20
21
22
23
24
25
26
27
28
29
30
31
32
33
34
35
36
37
38
39
40
41
42
43
44
45
46
47
48
49
50
51
52
53
54
55
56
57
58
59
60
61
62
...
64
65
66
67
68
69
70
71
72
73
74
75
76
77
78
79
80
81
82
83
Next
Related Quizzes
Previous slide
Next slide
Access For Free